
| CHEMICAL INFORMATION | |||
|---|---|---|---|
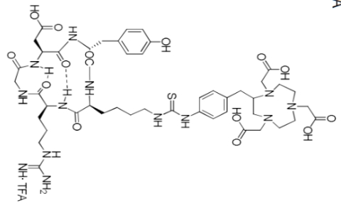
| CAT No. | YXP40051 | CAS No. | N/A |
| Name | NOTA-cyclic RGDyK | Chemical Name | NOTA-cyclic RGDyK |
| Purity | 98% | Synonyms | N/A |
| Formula | C47H67N13O14S . CF3CO2H | Molecular Weight | 1184.18 |
| One Letter Code | N/A | Three Letter Code | N/A |
| Source | Synthetic | Form | Dry Powder |
| Color | White | Solubility | N/A |
| SHIPPING & STORAGE | |||
| Storage | A cool(-20°C) & dry place protected from light, keep package close when not in use. | Shipping | DHL\Fedex\UPS\TNT\EMS |
| Stability | ≥ 2 years | ||
询价