
| CHEMICAL INFORMATION | |||
|---|---|---|---|
| CAT No. | YXP40032 | CAS No. | N/A |
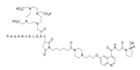
| Name | FAPI-10 | Chemical Name | FAPI-10 |
| Purity | 98% | Synonyms | N/A |
| Formula | N/A | Molecular Weight | N/A |
| One Letter Code | N/A | Three Letter Code | N/A |
| Source | Synthetic | Form | Dry Powder |
| Color | White | Solubility | N/A |
| SHIPPING & STORAGE | |||
| Storage | A cool(-20°C) & dry place protected from light, keep package close when not in use. | Shipping | DHL\Fedex\UPS\TNT\EMS |
| Stability | ≥ 2 years | ||
询价